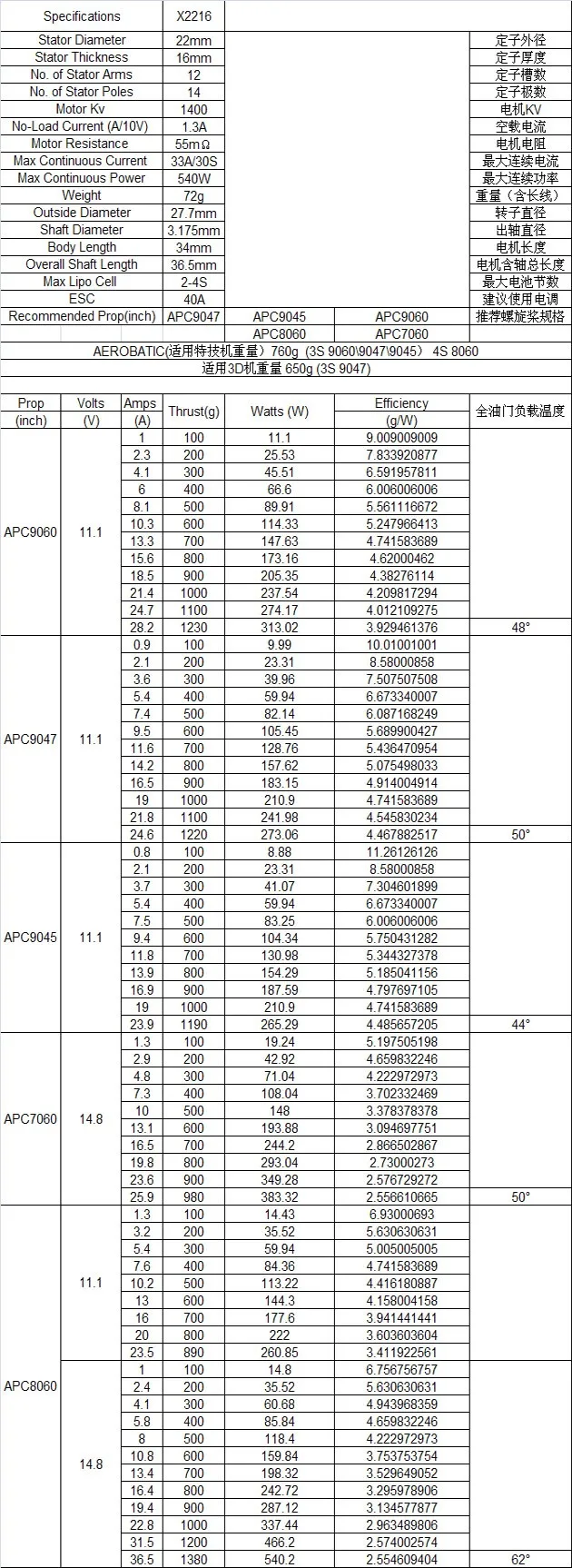
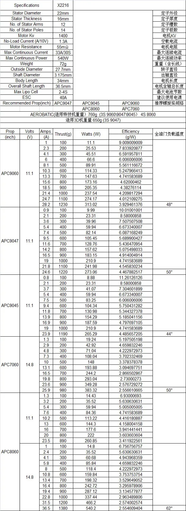
SunnySky X2216 2216 880KV 1100KV 1250KV 1400KV 1800KV 2400KV, высококачественный внешний бесщеточный двигатель для F450 F500 3D самолета
1 553,79₽
В наличии!
FPV Hobby Shop - Надежность 94.25%
Более 2007 подписчиков, дата открытия магазина 14.12.2011
- Положительные оценки: 95% (853)
- Соответствие описанию: 94%
- Отвечает на сообщения: 94%
- Скорость отправки: 94%
Последнее обновление: 27.09.2024









