Последняя версия Openport 2,0 ECU FLASH OBD 2 OBD2 открытый порт 2 0 чип Тюнинг автомобиля диагностический инструмент для Mercedes для Toyota Автосканер
AutoE-marketingsolution Store - Надежность 92.5%
Более 66 подписчиков, дата открытия магазина 20.05.2021
- Положительные оценки: 94% (257)
- Соответствие описанию: 92%
- Отвечает на сообщения: 92%
- Скорость отправки: 92%
Последнее обновление: 13.03.2022
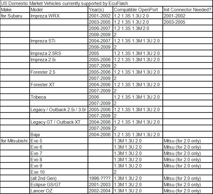
OpenPort 2,0 в сочетании с нашим программным обеспечением EcuFlash,OpenPort 2,0 способен переплавлять большое количество новыхДля Subaru и для автомобилей Mitsubishi
Поддержка других автомобилей в настоящее время.Openport 2,0 + ECUFLASH кабель для Toyota, для Jaguar и для LandRover Диагностика
Топ 5 причин, чтобы получить Openport 2,0 + ECUFLASH1. Обновляемое программное обеспечение2. Автономные регистраторы данных для microSD / microSDHC карты без ноутбука3. Поддерживает эти основные протоколы OBD: CAN 2,0 (CAN/ISO15765) и K-line (ISO9141/ISO14230(KWP2000)/dual K line)4.Openport 2,0 может работать для Toyota, для Jaguar и для LandRover диагностики.5. OpenPort 2,0 в сочетании с нашим программным обеспечением EcuFlash, OpenPort 2,0 способен перезаправлять большое количество новых для Subaru и для автомобилей Mitsubishi, и поддержка других автомобилей в настоящее время.
Примечание: Не подключайте Интернет при использовании.

Характеристики Openport 2,0 + ECUFLASH:1. 72 МГц 32-разрядный процессор2. Высокоскоростное устройство USB 2,0 (USB-A/мини-кабель в комплекте)3. Светодиоды RGB4. Возможность входа от инноваций Автоспорт 2,5 мм стерео МТС шины данных5. J2534 Поддержка доступа с Windows DLL6. Подать заявление в GND или 5V-алюминиевая крышка, 25В to OBD шпильки 1,3,9,11,12,13 или AUX 2,5 мм стерео разъем

Посылка:1 шт. x Openport 2,0 + ecupflash кабель1 шт. х USB кабель2 шт. x CD
-
Add New ModelFor Subaru For Mitsubishi
-
Applicable ListFor Toyota For Jaguar For LandRover
-
Features+ECUFLASH
-
FunctionReflashing
-
Hardware VersionNewest
-
Item NameTactrix Openport 2.0
-
Software VersionSDD V158
-
Special FeaturesECU Tuning Chip
-
Supports Major OBD protocolsCAN 2.0 (CAN/ISO15765) and K-line
-
Актуализация программного обеспеченияДа
-
Вес логистики0.160
-
Каждая упаковка1
-
Минимальная единица измерения100000015
-
Название брендаНет
-
Продано Вsell_by_piece
-
ПроисхождениеКитай
-
Размер логистики - высота (см)5
-
Размер логистики - длина (см)28
-
Размер логистики - ширина (см)23
-
СертификацияЕвропейский сертификат соответствия
-
Тип товараЧитатели Кода & инструменты развертки
-
ЯзыкАнглийский





